3 Magnetic Field Due to Current Element, Biot-Savart Law Magnetic Field on the Axis of a Circular Current Loop
Magnetic Field Due to Current Element, Biot-Savart Law: Magnetic Field on the Axis of a Circular Current Loop

Let
XY → Current carrying conductor
I → Current in the conductor
dl → Infinitesimal element of the conductor
dB → Magnetic field at point P
r → Distance of point P from the element
- According to Biot-Savart law, the magnetic field is proportional to the current and element length, and inversely proportional to the square of the distance.
∴ dB ∝ 
= 
Where,
= Constant of proportionality = 10−7 Tm/A
μ0 is permeability in free space.
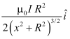
Magnetic field on the axis of a circular current loop

I → Current in the loop
R → Radii of the loop
X-axis → Axis of the loop
X → Distance of OP
dl → Conducting element of the loop
- According to Biot-Savart law, the magnetic field at P is
dB = 
r2 = x2 + R2
| dl × r | = r dl (
they are perpendicular)
∴ dB = 
- dB has two components − dBx and dB⊥. dB⊥ is cancelled out and only the x-component remains.
∴ dBx = dBcosθ
cosθ = 
∴ dBx = 
- Summation of dl over the loop is given by 2πR.
- ∴ B =
= 
- For magnetic field at the centre of the loop, x = 0

