8 Moving Coil Galvanometer
Moving Coil Galvanometer
Principle:
Its working is based on the fact that when a current carrying coil is placed in a magnetic field, it experiences a torque.

Working:
Suppose the coil PQRS is suspended freely in the magnetic field.
Let
l = Length PQ or RS of the coil
b = Breadth QR or SP of the coil
n = Number of turns in the coil
Area of each turn of the coil, A = l × b
Let B = Strength of the magnetic field in which coil is suspended
I = Current passing through the coil in the direction PQRS
Let, at any instant, α be the angle which the normal drawn on the plane of the coil makes with the direction of magnetic field.
The rectangular coil carrying current when placed in the magnetic field experiences a torque whose magnitude is given by,
τ = nIBA sinα
Due to deflecting torque, the coil rotates and suspension wire gets twisted. A restoring torque is set up in the suspension wire.
Let θ be the twist produced in the phosphor bronze strip due to rotation of the coil and K be the restoring torque per unit twist of the phosphor bronze strip. Then,
Total restoring torque produced = kθ
In equilibrium position of the coil,
Deflecting torque = Restoring torque
∴ NIBA = kθ
Or, 
Where,
[constant for a galvanometer]
It is known as galvanometer constant.
- Current sensitivity of the galvanometer is the deflection per unit current.

- Voltage sensitivity is the deflection per unit voltage.

Conversion of a galvanometer to ammeter

- A shunt (low resistance) is connected in parallel with the galvanometer.

Where,
I → Total current in circuit
G → Resistance of the galvanometer
S →Resistance of the shunt
Ig → Current through galvanometer
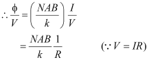
Conversion of galvanometer to voltmeter

- A high resistance is connected in series with the galvanometer.

Where,
V → Potential difference across the terminal A and B
Ig → Current through the galvanometer
R → High resistance
G → Resistance of galvanometer
